Omni 下一代石英晶体微天平
Pro 八通道全自动石英晶体微天平
Analyzer 卓越版四通道石英晶体微天平
Explorer 扩展版石英晶体微天平
Initiator 基础版石英晶体微天平
High Pressure 高温高压石英晶体微天平
电化学模块
椭偏联用模块
流动模块
湿度模块
开放模块
窗口模块
PTFE流动模块
ALD模块
矿物浮选模块
低温真空模块
芯片
高温样品台
耗材
温度控制配件
配件样品台
进样泵
芯片配件
Langmuir&LB膜分析仪
Roll to Roll 柔性LB膜制备
纳米颗粒沉积
小型布鲁斯特角显微镜
界面剪切流变仪 ISR Flip
表面电位测量仪
Theta Flow
Theta Flex
Theta Flow 高压模块
Theta Lite
Theta Flow 形貌模块
Theta Wafer
Sigma 700/701
Sigma 702
Sigma 702ET
Sigma 703D
检测方法
A menu will be automatically generated from the headings (Heading 2) here.
流变学是研究物质流动的一门分支科学。界面流变学则着重于两种不混溶的相之间形成的独特的二维系统,例如液体/气体和液体/液体之间的流变。
界面的稳定性很大程度上取决于界面的粘弹性,而界面的粘弹性对于许多使用泡沫、乳液和分散体系的行业(如药品,食品,饮料,化妆品和涂料)来说,至关重要。
界面流变学是一个具有挑战性的研究领域,因为界面中的作用力非常小。 旋转环法和双锥法这些成熟的技术只适用于研究界面间的大分子化合物。 KSV NIMA ISR界面剪切流变仪利用一个随着振荡磁场移动的小型磁性探针。 与传统旋转环法相比,该方法降低了惯性影响并提高了探针的灵敏度,从而能够测量小分子量的表面活性化合物。
磁化探针通过亥姆霍兹线圈产生的磁场在气-水或油-水界面移动,探针的运动轨迹被上方高速摄影机记录,由应变和信号相移计算得出复数表面模量,可分解为薄膜的弹性和粘性性质。
界面剪切流变仪器使用亥姆霍兹线圈在测量区域创建均匀的磁场。亥姆霍兹线圈使用两个相同的圆形磁性线圈,它们彼此分开,其距离与线圈半径相同。通过控制磁场,使磁化探针在测量区域中移动。 由于没有机械连接,仪器的灵敏度显著提高,可测量非常微弱的粘弹作用力。
测量探针由于其较轻的质量和防水涂层,易于浮在液体表面。 探针内部的金属已被磁化并且封装好,随时可用。由于不同样品之间的薄膜粘弹性存在差异,因此仪器搭配了不同尺寸的探针以匹配实验。
磁性探针在一个玻璃槽内移动,玻璃内表面的两侧形成小的弯月面。 该玻璃槽可引导探针作直线运动,以确保运动时液面的几何形貌对称。使用支架固定玻璃槽,以确保每次使用中玻璃槽位于于槽体中心。这样,磁性探针就很容易定位于磁场中央。为简化仪器构造, 相机和镜头被安装于xyz平台上方。
动态测量可以得到如下定义值:
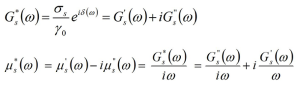
在动态流变实验中,测量了三个变量:应力和应变振荡之间的应力(σ),应变(γ)和相位角(φ)。
动态粘弹性模量G *可通过测量振荡频率(ω)的函数而获得,可将其分成两个分量,弹性(或存储)模量G'和粘性(或损耗)模量G。
动态测试包括三种不同的测量类型:
蠕变测量可以得到:
在蠕变一致性测试模式中,仪器提供的信息可用以判断测试体系是否更像理想的牛顿液体(缓冲模型)或理想弹性(弹簧模型)。粘弹性系统由于是将两个元素结合起来,所以更为复杂。可以用Maxwell和Kelvin-Voigt模型进行建模。 在蠕变一致性测试中,施加恒定应力(σ)来测量相关应变(γ)。
在Maxwell模型中,弹性模量G由施加应力后的即时反应计算得到,粘度则来自与时间相关的形变(斜率)。
在Kelvin-Voigt模型中,弹簧和缓冲器都是并联的,施加应力后得到的应变响应是时间依赖性和非线性的。该响应可以分为弹性(G)和粘性(η)两个分量。 从这些分量可以确定弛豫时间τ。
在大多数情况下,需要使用Maxwell和Kelvin-Voigt的不同组合模型来模拟测试物质粘弹性行为,例如标准线性实体模型和广义Maxwell模型。
不同于通常在文献中使用的应变顺应性(J),需要考虑所使用的力。
除了界面剪切流变学外,膨胀流变学可以做为补充技术,使用Langmuir槽来进行测量。 请注意,这类技术不能直接进行比较,因为膨胀流变测量中表面堆积密度会发生变化,可能会发生吸收/解吸。